| Status de disponibilidade: | |
|---|---|
O composto de GA é desenvolvido para os usuários que mais exigentes para condições de sacarificação, podem atingir o valor DX expectante rapidamente. O composto GA é misturado com glucoamilase e pululanase por proporção adequada. A glicoamilase de alta atividade é derivada de Aspergillus niger, que podem hidrolisar as ligações α-1,4-glucosídicas rapidamente. Também tem a capacidade, de uma maneira, de hidrolisar as ligações α-1,6-glucosídicas. A pululanase com alto calor e ampla estabilidade de pH derivada de um Bacillus subtilis geneticamente modificado, que pode hidrolisar eficientemente as ligações α-1,6-glucosídicas para produzir dextrina de cadeia reta rapidamente. Ambos os dois tipos de eficientes podem converter coordenadamente amido em glicose.


Características
Atividade glucoamilase | ≥ 150000BGU/G. |
Atividade Pullulanase | ≥ 2000 bpu/g |
Aparência | Líquido marrom |
ph | 4.0 - 4.5 |
Densidade | 1.10-1.20 g/ml |
O composto GA fornece os seguintes benefícios:
◇ O valor DX da sacarificação não seria inferior a 96,5%.
◇ Estabilidade de pH larga, flexibilidade no controle do processo.
◇ A sacarificação pode ser processada em temperatura mais alta e concentrações de substâncias mais secas.
◇ Taxa de reação reversa inferior.
Aplicações
O composto GA transforma amido liquefeito ou dextrina em glicose de alta pureza através do efeito sinérgico da glucoamilase e pululanase. O efeito de aplicação depende da temperatura de processamento, pH, tempo e quantidade de substrato seco, etc. O pH mais ideal dos dois componentes principais corresponde perfeitamente a pH 4,3-4,5, dentro desse escopo a sacarificação pode obter os melhores resultados (mostrados na Figura1).
Condições de aplicação típicas | |
Liquefação de | 13 - 18 |
Sólidos secos | 28 - 35% |
Temperatura de sacarificação | 58 - 64 ℃ |
Sacarificação Ph | 4.0 – 4.8 |
Tempo de sacarificação | 32 - 48 h |
0,35 - 0,60 kg/tds |

Fig 1 As curvas de caracteres do pH dos dois componentes principais do Highdex Ultra 3.0
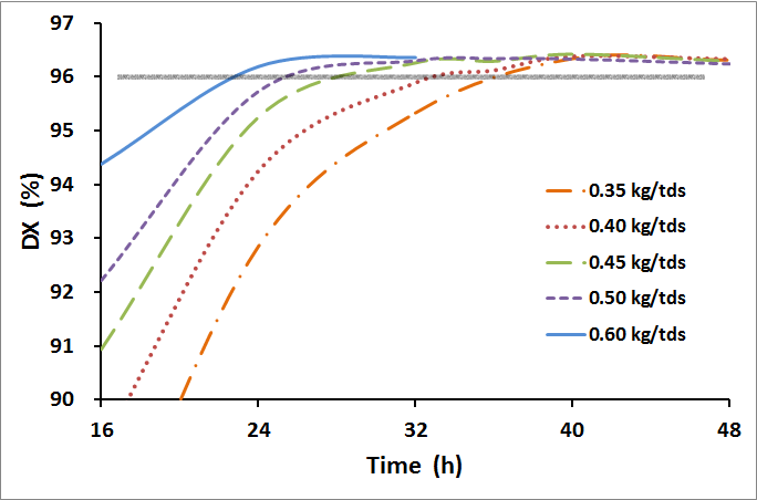
A dosagem do composto GA depende das condições do processo e do rendimento da glicose. Na maioria dos casos, a dose normal é de 0,35-0,60 kg/TDS (TDS: por tonelada de substância seca) e a dosagem de 0,45 kg/TDS alcançará resultados muito ideais. Além disso, o aumento da dosagem enzimática pode reduzir eficientemente o tempo de sacarificação do processo (mostrado na Figura 2).
O composto de GA se adapta à alta concentração de substrato seco devido à melhor atividade da glucoamilase e pululanase. Mesmo para a concentração de DS de até 32% - 34%, ele ainda pode tornar o valor DX superior a 96% dentro de 32 h (mostrado na Figura 3).

Fig 2 Gráfico de aplicação - dosagem de enzimas diferentes
(Condições: amido liquefeito, DE 13.5, DS 31%, 60 ℃, pH 4,3)

Fig 3 Gráfico de aplicação - diferentes substratos secos
(Condições: amido liquefeito, de 13.5, 0,5 kg/tds, 60 ℃, pH 4,3)
Disposição de padrões/aplicação
GB 8276-2006
Estabilidade de armazenamento
Recomenda -se que o composto de GA seja armazenado no balde original abaixo de 20 ℃, evite ser diretamente exposto na luz solar. Refrigerado abaixo de 5 ℃ Obviamente, pode prolongar o prazo de validade.
Embalagem
O composto GA está em 28 kg de tambor de plástico.
Manuseio de segurança
A enzima pertence a algum tipo de proteína, para algumas pessoas que pode ser sensibilizada. A inalação de poeira enzimática e névoa deve ser evitada. Use roupas de trabalho, luvas, óculos de proteção durante a operação para evitar poeira enzimática e névoas. Em caso de contato com a pele ou os olhos, enxágue prontamente com água por pelo menos 15 minutos. Para obter informações detalhadas sobre manuseio seguro, peça a Bestzyme para obter a folha de dados de segurança do material.
Tags quentes: glucoamilase composta, líquido de glucoamilase composto, enzima de glicose, pó de glucoamilase composto, glucoamilase composta de alta qualidade, composto líquido glucoamilase, China, compra, personalização, fabricantes, preço, fornecedores